|
|
|
ООО «КОНСАЛТИНГОВАЯ КОМПАНИЯ «АУДИТЭНЕРГО» 246029, Гомель, ул. Братьев Лизюковых, 14а, 2-18; 2-20 Тел./факс (0232) 25-58-60, 31-05-47, (029) 654-05-91 http://www.auditenergo.by , info@auditenergo.by |
МЕТОДИКА РАСЧЕТА
ТЕПЛОВЫХ ОТОПИТЕЛЬНЫХ НАГРУЗОК,
ВСТРОЕННЫХ ИЗОЛИРОВАННЫХ ПОМЕЩЕНИЙ
ООО «КОНСАЛТИНГОВАЯ КОМПАНИЯ «АУДИТЭНЕРГО»
СОДЕРЖАНИЕ
Расчет тепловых отопительных нагрузок допускается выполнять двумя способами:
1. По ограждающим конструкциям;
2. По фактически установленным отопительным приборам.
Если в систему отопления с момента строительства здания не вносились изменения, то расчетная отопительная нагрузка, выполненная по ограждающим конструкциям, будет равна нагрузке определенной по отопительным приборам, и не имеет значения каким способом сделан расчет, можно применять любую методику.
При отсутствии данных по теплофизическим свойствам материалов применяемых при строительстве, расчет отопительной нагрузки по ограждающим конструкциям, необходимо выполнять по нормативному сопротивлению теплопередаче ограждающей конструкции, принятому по ТНПА в соответствии с годом строительства, или реконструкции (терморенновации, при которой также была произведена модернизация системы отопления, т.е. уменьшение нагрузки радиаторов).
В случае если в помещении отопительные приборы были демонтированы (например, переоборудование в продуктовый магазин, который обладает значительными внутренними тепловыделениям от холодильного оборудования), или установлены новые, расчет необходимо выполнять по фактически установленным отопительным приборам.
Если в изолированном помещении отсутствуют наружные ограждающие конструкции (помещение расположено внутри здания), но установлены отопительные приборы, расчет отопительной нагрузки производится по фактически установленным отопительным приборам.
Если в изолированном помещении отсутствуют отопительные приборы, и транзитные трубопроводы, помещение обладает наружными ограждающими конструкциями, а смежные помещения отапливаются, то расчет отопительной нагрузки производится по ограждающим конструкциям.
В случае обогрева одного помещения, разделенного на небольшие павильоны, мастерские и т.д. (помещения не закрытого типа), расчет тепловой нагрузки производится по любой из методик, а распределение нагрузки между потребителями осуществляется пропорционально занимаемому объему, нагрузка мест общего пользования также распределяются пропорционально занимаемому объему.
Результат расчета нагрузки по отопительным приборам может оказаться завышенным если в расчетном помещении установлены конечные, по ходу движения теплоносителя, радиаторы системы отопления (как правило в данном случае устанавливаются радиаторы с бо́льшим количеством секций), что необходимо скорректировать расчетной температурой в подающем трубопроводе.
При определении нагрузки в зданиях старой постройки (до 1970-х годов), необходимо учитывать вероятность ее завышения при расчете по отопительным приборам, вследствие пониженного проектного температурного графика, или других факторов, в данном случае рекомендуется выполнять расчет по ограждающим конструкциям.
1 Расчет тепловых отопительных нагрузок по ограждающим конструкциям
Расчетная тепловая отопительная нагрузка
, Вт, определяется через каждую ограждающую конструкцию (или ее часть)
отдельно, по формуле [1]
(1.1)
|
где |
А |
– |
расчетная площадь ограждающей конструкции, м 2; |
|
R Т |
– |
сопротивление теплопередаче ограждающей конструкции, (м 2×°C)/Вт (принимается равным нормативному сопротивлению теплопередаче ограждающей конструкции, по ТНПА в соответствии с годом строительства, или реконструкции (терморенновации, при которой также была произведена модернизация системы отопления, т.е. уменьшение нагрузки радиаторов), [7-15]; |
|
|
t В |
– |
расчетная температура воздуха в помещении, °C [5, 6]; |
|
|
|
– |
расчетная температура наружного воздуха, или температура воздуха более холодного помещения – при расчете потерь теплоты через внутренние ограждающие конструкции, °С [4]; |
|
|
b |
– |
коэффициент, учитывающий добавочные теплопотери. [1]; |
|
|
n |
– |
коэффициент положения ограждения относительно наружного воздуха, [7-15]; |
К добавочным потерям относятся: добавка на ориентацию ограждения по сторонам света; добавка на угловое помещение, имеющее две и более наружных; добавка на вырывание холодного воздуха через наружные двери в здание, не оборудованное воздушно-тепловой завесой, при их кратковременном открывании, а так же добавка на инфильтрацию.
Добавочные потери теплоты через ограждающие конструкции b следует принимать в долях от основных потерь [1]:
а) в помещениях любого назначения через наружные вертикальные и наклонные (вертикальная проекция) стены, двери и окна, обращенные на север, восток, северо-восток и северо-запад – 0,10, на юго-восток и запад – 0,05;
в общественных, административных, бытовых и производственных помещениях через две наружные стены и более – 0,15, если одна из ограждающих конструкций обращена на север, восток, северо-восток и северо-запад, и 0,10 – в других случаях;
в угловых помещениях – дополнительно по 0,05 на каждую стену, дверь и окно;
б) в помещениях через стены, двери и окна и обращенных на любую из сторон света, - 0,08 по одной наружной стороне и 0,13 – для угловых помещений, а во всех жилых помещениях – 0,13 независимо от количества наружных стен;
в) через наружные двери, не оборудованные воздушными или воздушно-тепловыми завесами, при высоте зданий Н, м, от средней планировочной отметки земли до верха карниза, центра вытяжных отверстий фонаря или устья шахты:
0,20 Н – для тройных дверей с двумя тамбурами между ними;
0,27 Н – для двойных дверей с тамбуром между ними;
0,34 Н – для двойных дверей без тамбура;
0,22 Н – для одинарных дверей;
г) через наружные ворота, не оборудованные воздушными и воздушно-тепловыми завесами, - 3,00 при отсутствии тамбура и 1,00 – при наличии тамбура у ворот.
Примечание – для летних и запасных наружных дверей и ворот добавочные потери теплоты по перечислениям в) и г) не следует учитывать.
Результаты расчета отопительной нагрузки рекомендуется отображать по форме в таблицы 1.1.
Таблица 1.1 – Расчет отопительной нагрузки
|
№ пп |
Наимено-вание помещения |
Наружная ОК |
tВ , oC |
tРН , oC |
Ориент. по стор. горизонта |
Площадь НОК А, м2 |
Нормативное сопротивление теплопередаче в соответствии с годом строительства, RТ, м 2оС/Вт |
Коэффициент положения, n |
Коэффициент учитывающий добавочные теплопотери, b |
QРОТ , Вт |
|||
|
на ориентацию |
прочие |
1+ Sb |
|||||||||||
|
Год постройки - |
|
ТНПА принимаемые к расчету - |
|
|
|||||||||
|
Стена |
|||||||||||||
|
Стена |
|||||||||||||
|
Дверь |
|||||||||||||
|
Пол |
|||||||||||||
|
Потолок |
|||||||||||||
|
Итого |
|
|
|
|
|
|
|
|
|
|
|||
|
ВСЕГО |
Вт |
||||||||||||
|
Гкал/ч |
|||||||||||||
2 Расчет тепловых отопительных нагрузок по отопительным приборам
Суммарная расчетная тепловая отопительная нагрузка Q РОТ.СУМ, Гкал/ч, определяется по формуле [2]
Q Р ОТ = QРОТ + Q РТР (2.1)
|
где |
Q Р ОТ |
– |
расчетная отопительная нагрузка, Гкал/ч; |
|
Q Р ТР |
– |
теплоотдача открыто расположенных в пределах помещений трубопроводов системы отопления, Гкал/ч. |
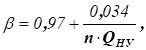
Расчетная отопительная нагрузка QР ОТ, Мкал/ч, определяется по формуле [2, 3]
(2.2)
|
где |
Q НУ |
– |
номинальный тепловой поток отопительного прибора при нормированных условиях, кВт (принимается по паспортным, справочным данным); |
|
q |
– |
температурный напор, равный разности полусуммы температур теплоносителя на входе и выходе отопительного прибора и температуры воздуха помещения,°C (при расчете данной величины необходимо учитывать снижение температуры теплоносителя в подающем трубопроводе в конечных, по ходу его движения, отопительных приборах системы отопления, т.е. менее 95°C, но не менее 70°C); |
|
|
М |
– |
массовый расход теплоносителя через отопительный прибор (один присоединительный штуцер конвектора проходного исполнения ), кг/с (таблица 2.1); |
|
|
m , р |
– |
эмпирические показатели степени соответственно при относительном температурном напоре и расходе теплоносителя (таблица 2.1); |
|
b |
– |
поправочный коэффициент на расчетное барометрическое давление; |
|
|
Y |
– |
коэффициент, учитывающий уменьшение теплового потока при движении теплоносителя через отопительный прибор по схеме «снизу-вверх»; |
|
|
с |
– |
коэффициент, учитывающий схему присоединения прибора и изменение показателя степени р в различных диапазонах расхода теплоносителя (таблица 2.1); |
|
|
b |
– |
коэффициент, учитывающий число секций в чугунном секционном радиаторе. |
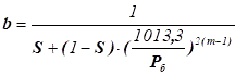
Поправочный коэффициент на расчетное барометрическое давление б определяется по формуле [3]
(2.3)
|
где |
S |
– |
лучистая составляющая теплового потока отопительного прибора, равная: 0,45 – для однорядных стальных панельных радиаторов; 0,3 – для чугунных секционных радиаторов и двухрядных стальных радиаторов; 0,25 – для настенных конвекторов без кожуха, трубы отопительной чугунной ребристой и прибора отопительного типа «Коралл» однорядного по глубине; 0,2 – для прибора отопительного типа «Коралл» двухрядного по глубине; 0,05 – для конвекторов с кожухом; |
|
Рб |
– |
расчетное барометрическое давление, гПа; |
|
|
m |
– |
эмпирический показатель степени соответственно при относительном температурном напоре и расходе теплоносителя (таблица 2.1) |
Коэффициент Y, учитывающий уменьшение теплового потока отопительного прибора при движении теплоносителя через прибор “снизу-вверх” (для приборов с расположением присоединительных штуцеров в одной
|
где |
а |
– |
коэффициент в зависимости от типа отопительного прибора, равный: 0,006 – для чугунных секционных радиаторов, стальных панельных и биметаллических радиаторов; 0,002 – для конвекторов; |
|
t Н |
– |
температура теплоносителя на выходе в отопительный прибор, °C; |
|
|
t K |
– |
температура теплоносителя на выходе из отопительного прибора, °C. |
При движении теплоносителя через отопительный прибор «сверху-вниз» (для чугунных секционных радиаторов, стальных панельных и биметаллических радиаторов), а также при любом направлении движения теплоносителя через стальные панельные радиаторы типа РСГ и конвекторы типа «Прогресс», коэффициент Y принимается равным 1.
Коэффициент b, учитывающий изменение теплового потока в зависимости от числа секций в чугунных, и биметаллических секционных радиаторах, определяется по формуле
(2.5)
|
где |
n |
– |
количество секций радиатора. |
Для всех остальных отопительных приборов коэффициент b равен 1.
Теплоотдача открыто расположенных в пределах помещений трубопроводов системы отопления QР ТР, Гкал/ч определяется по формуле [2]
Q Р ТР = qВ ×LВ +qГ × LГ, (2.6)
|
где |
q В |
– |
теплоотдача 1 м вертикальных труб, Вт/м [2], таблица 2.2; |
|
L В |
– |
длинна вертикальных труб, м; |
|
|
q Г |
– |
теплоотдача 1 м горизонтальных труб, Вт/м [2], ], таблица 2.2; |
|
|
L Г |
– |
длинна горизонтальных труб, м. |
Таблица 2.1 – Поправочные коэффициенты
|
Тип отопительного прибора |
Направление движения теплоносителя через отопительный прибор |
Расход теплоносителя М, кг/сек |
Значение коэффициентов |
||
|
m |
p |
c |
|||
|
Радиатор чугунный секционный, биметаллический, стальной панельный одно- и двух- рядный |
Сверху - вниз |
0,005-0,014 |
1,3 |
0,02 |
1,039 |
|
0,015-0,149 |
1,3 |
0 |
1 |
||
|
0,15-0,25 |
1,3 |
0,01 |
0,996 |
||
|
Снизу-вверх |
0,005-0,017 |
1,25 |
0,12 |
1,113 |
|
|
0,018-0,25 |
1,25 |
0,04 |
0,97 |
||
|
Снизу - вниз |
0,005-0,032 |
1,15 |
0,08 |
1,092 |
|
|
0,033-0,25 |
1,15 |
0 |
1 |
||
|
Конвектор настенный с кожухом типа «Комфорт-20» и конвектор напольный с кожухом типов «Ритм», «Ритм-1500» |
- |
0,01-0,024 |
1,35 |
0,18 |
1 |
|
0,025-0,25 |
1,35 |
0,07 |
1 |
||
|
Конвектор напольный высокий типа КВ |
- |
0,01-0,25 |
1,25 |
0,1 |
1 |
|
Конвекторы настенные с кожухом типов «Универсал», «Универсал С» |
Любое |
0,01-0,024 |
1,3 |
0,18 |
1 |
|
0,025-0,25 |
1,3 |
0,07 |
1 |
||
|
Конвектор напольный высокий типа «Аккорд» одно- и двухрядный |
Любое |
0,01-0,25 |
1,2 |
0,03 |
1 |
|
Радиатор стальной панельный типа РСГ2 однорядный |
Сверху - вниз |
0,006-0,08 |
1,3 |
0,025 |
1 |
|
0,09-0,25 |
1,3 |
0 |
1 |
||
|
Снизу-вверх |
0,006-0,08 |
1,25 |
0,08 |
1 |
|
|
0,09-0,25 |
1,25 |
0 |
1 |
||
|
Радиатор стальной панельный типа РСГ2 двухрядный |
Сверху -вниз |
0,006-0,08 |
1,3 |
0,01 |
1 |
|
0,09-0,25 |
1,3 |
0 |
1 |
||
|
Снизу-вверх |
0,006-0,08 |
1,25 |
0,08 |
1 |
|
|
0,09-0,25 |
1,25 |
0 |
1 |
||
Продолжение таблицы 2.1
|
Тип отопительного прибора |
Направление движения теплоносителя через отопительный прибор |
Расход теплоносителя М, кг/сек |
Значение коэффициентов |
||
|
m |
p |
c |
|||
|
Конвектор отопительный типа «Прогресс» 15К |
Любое |
0,01-0,25 |
1,2 |
0,06 |
1 |
|
Конвектор отопительный типа «Прогресс» 20К |
Любое |
0,01-0,25 |
1,14 |
0,07 |
1 |
|
Труба отопительная чугунная ребристая |
- |
0,01-0,25 |
1,25 |
0,07 |
1 |
|
Прибор отопительный биметаллический литой типа «Коралл» |
- |
0,01-0,25 |
1,3 |
0,04 |
1 |
При отсутствии необходимого отопительного прибора в таблице, принимаются данные прибора аналогичного по конструкции.
Таблица 2.2 – теплоотдача 1 м труб, Вт/м
|
tТР-tВ, ° C |
Вертикальные, dУ |
Горизонтальные, dУ |
||||||||||
|
15 |
20 |
25 |
32 |
40 |
50 |
15 |
20 |
25 |
32 |
40 |
50 |
|
|
40 |
28 |
36 |
44 |
56 |
64 |
79 |
38 |
46 |
57 |
74 |
77 |
93 |
|
41 |
30 |
37 |
46 |
58 |
66 |
82 |
39 |
47 |
59 |
77 |
79 |
95 |
|
42 |
30 |
38 |
47 |
60 |
68 |
85 |
41 |
50 |
63 |
79 |
80 |
99 |
|
43 |
31 |
39 |
49 |
61 |
70 |
87 |
42 |
52 |
65 |
81 |
84 |
101 |
|
44 |
32 |
41 |
51 |
64 |
72 |
88 |
43 |
53 |
66 |
84 |
86 |
105 |
|
45 |
34 |
42 |
52 |
65 |
74 |
93 |
44 |
55 |
68 |
86 |
88 |
107 |
|
46 |
34 |
43 |
53 |
67 |
77 |
95 |
44 |
57 |
71 |
89 |
89 |
110 |
|
47 |
35 |
44 |
55 |
68 |
78 |
97 |
46 |
58 |
72 |
92 |
92 |
113 |
|
48 |
36 |
45 |
56 |
71 |
80 |
100 |
47 |
59 |
74 |
93 |
94 |
115 |
|
49 |
37 |
46 |
58 |
73 |
82 |
103 |
49 |
60 |
75 |
94 |
97 |
118 |
|
50 |
38 |
47 |
59 |
74 |
85 |
106 |
50 |
60 |
73 |
95 |
100 |
122 |
|
51 |
38 |
49 |
60 |
76 |
86 |
108 |
51 |
61 |
74 |
96 |
102 |
125 |
|
52 |
39 |
50 |
62 |
78 |
88 |
111 |
52 |
64 |
76 |
97 |
106 |
129 |
|
53 |
41 |
51 |
64 |
80 |
91 |
114 |
53 |
65 |
79 |
98 |
108 |
132 |
|
54 |
41 |
52 |
65 |
82 |
93 |
117 |
56 |
66 |
80 |
99 |
110 |
135 |
|
55 |
43 |
53 |
67 |
84 |
96 |
120 |
57 |
68 |
82 |
101 |
113 |
138 |
|
56 |
44 |
54 |
68 |
86 |
97 |
123 |
58 |
70 |
85 |
103 |
116 |
141 |
|
57 |
44 |
56 |
70 |
88 |
99 |
125 |
59 |
71 |
86 |
106 |
118 |
144 |
|
58 |
45 |
57 |
72 |
91 |
101 |
128 |
60 |
73 |
88 |
108 |
121 |
148 |
|
59 |
46 |
58 |
73 |
92 |
103 |
131 |
61 |
74 |
91 |
112 |
124 |
151 |
|
60 |
47 |
59 |
74 |
94 |
107 |
134 |
63 |
77 |
92 |
114 |
127 |
155 |
|
61 |
49 |
61 |
76 |
96 |
109 |
137 |
65 |
79 |
94 |
115 |
129 |
157 |
|
62 |
50 |
63 |
78 |
98 |
111 |
141 |
66 |
80 |
96 |
118 |
132 |
160 |
Продолжение таблицы 2.2
|
tТР-tВ, ° C |
Вертикальные, dУ |
Горизонтальные, dУ |
||||||||||
|
15 |
20 |
25 |
32 |
40 |
50 |
15 |
20 |
25 |
32 |
40 |
50 |
|
|
63 |
51 |
64 |
79 |
100 |
114 |
143 |
67 |
81 |
98 |
121 |
135 |
164 |
|
64 |
52 |
65 |
81 |
102 |
116 |
146 |
69 |
83 |
100 |
123 |
137 |
167 |
|
65 |
53 |
66 |
83 |
105 |
119 |
149 |
70 |
85 |
102 |
125 |
141 |
171 |
|
66 |
55 |
67 |
85 |
106 |
121 |
152 |
71 |
86 |
104 |
128 |
143 |
174 |
|
67 |
55 |
68 |
86 |
108 |
123 |
156 |
73 |
88 |
106 |
130 |
145 |
177 |
|
68 |
56 |
70 |
88 |
110 |
125 |
158 |
74 |
89 |
108 |
132 |
149 |
182 |
|
69 |
57 |
72 |
89 |
113 |
128 |
162 |
75 |
92 |
110 |
135 |
151 |
185 |
|
70 |
59 |
74 |
93 |
117 |
131 |
165 |
77 |
93 |
113 |
138 |
155 |
187 |
|
71 |
60 |
75 |
94 |
119 |
135 |
167 |
79 |
95 |
114 |
141 |
157 |
191 |
|
72 |
61 |
77 |
96 |
121 |
137 |
171 |
80 |
96 |
116 |
143 |
160 |
194 |
|
73 |
63 |
78 |
97 |
123 |
140 |
174 |
81 |
97 |
118 |
145 |
163 |
198 |
|
74 |
64 |
80 |
100 |
125 |
143 |
178 |
82 |
100 |
121 |
148 |
166 |
202 |
|
75 |
65 |
81 |
101 |
128 |
145 |
180 |
84 |
102 |
123 |
151 |
168 |
205 |
|
76 |
66 |
83 |
103 |
130 |
148 |
185 |
86 |
103 |
125 |
153 |
172 |
208 |
|
77 |
67 |
84 |
107 |
133 |
151 |
187 |
87 |
105 |
128 |
156 |
174 |
213 |
|
78 |
68 |
86 |
107 |
135 |
152 |
191 |
89 |
107 |
128 |
159 |
178 |
215 |
|
79 |
70 |
87 |
109 |
137 |
154 |
194 |
91 |
108 |
131 |
162 |
180 |
218 |
|
80 |
71 |
88 |
110 |
139 |
158 |
196 |
92 |
109 |
134 |
164 |
184 |
223 |
|
81 |
72 |
89 |
113 |
142 |
160 |
200 |
93 |
111 |
136 |
166 |
186 |
227 |
|
82 |
73 |
92 |
114 |
144 |
165 |
203 |
94 |
114 |
138 |
170 |
189 |
230 |
|
83 |
74 |
93 |
116 |
146 |
166 |
207 |
96 |
115 |
141 |
172 |
192 |
235 |
|
84 |
75 |
94 |
119 |
149 |
169 |
210 |
98 |
117 |
143 |
174 |
195 |
238 |
|
85 |
77 |
96 |
120 |
151 |
173 |
214 |
100 |
120 |
145 |
178 |
198 |
242 |
|
86 |
78 |
98 |
122 |
153 |
174 |
217 |
101 |
121 |
146 |
180 |
201 |
246 |
|
87 |
79 |
99 |
124 |
156 |
177 |
221 |
101 |
123 |
149 |
182 |
204 |
250 |
|
88 |
81 |
101 |
125 |
158 |
180 |
224 |
102 |
125 |
151 |
186 |
208 |
253 |
|
89 |
81 |
102 |
128 |
162 |
182 |
228 |
105 |
127 |
153 |
188 |
210 |
257 |
|
90 |
82 |
103 |
130 |
164 |
186 |
231 |
107 |
128 |
156 |
191 |
214 |
260 |
Некоторые производители отопительных приборов предлагают собственные методики расчета, отличие в конечном результате не значительные, однако в расчетах рекомендуется использовать рекомендации производителя.
Результаты расчета отопительной нагрузки рекомендуется отображать по форме в таблицы 2.3, 2.4.
Таблица 2.3– Расчет отопительной нагрузки
|
№ п.п. |
Наименование помещения |
Тип радиатора |
Кол. секций |
Кол. радиато-ров |
F, м2 |
QНУ, кВт |
tВ , оС |
m |
p |
b |
Y |
с |
b |
QРОТ,, кВт |
QРОТ, Мкал/ч |
Таблица 2.4– Расчет теплоотдачи открыто расположенных в пределах помещений трубопроводов системы отоплении
|
№ п.п. |
Наименование помещения |
Назначение (подающий/ обратный) |
Условный диаметр, dУ, мм |
Длинна, L, м |
tВ , оС |
tТР , оС |
D t , оС |
qВ, Г , Вт/м |
QРТР, кВт |
QРТР, Мкал/ч |
|
Вертикальные трубопроводы |
||||||||||
|
|
Итого |
|
|
|||||||
|
Горизонтальные трубопроводы |
||||||||||
|
|
Итого |
|
|
|||||||
|
ВСЕГО |
|
|
||||||||
СПИСОК ИСПОЛЬЗОВАННЫХ ИСТОЧНИКОВ
1. СНБ 4.02.01-03. Отопление, вентиляция и кондиционирование воздуха.
2. Внутренние санитарно-технические устройства. Ч. 1. Отопление. – М.: Стройиздат, 1990.
3. Строительный каталог СК-8. Инженерное оборудование зданий и сооружений. – М.: 1988.
4. БНБ 2.04.02 – 2000. Строительная климатология. (Изменение №1).
5. СНиП 2.08.02-89. Общественные здания и сооружения. М., 1991.
6. СНиП 2.09.04-89. Административные и бытовые здания. М., 1988 г.
7. СНиП II-А.7-62 Строительная теплотехника.
8. СНиП II-А.7-71 Строительная теплотехника.
9. СНиП II-3-79 Строительная теплотехника.
10. СНБ 2.01.01-93 Строительная теплотехника.
11. СНБ 2.04.01-97 Строительная теплотехника.
12. ТКП 45-2.04-43-2006 Строительная теплотехника.
13. Изменение №1 ТКП 45-2.04-43-2006 Строительная теплотехника.
14. Изменение №3 ТКП 45-2.04-43-2006 Строительная теплотехника.
15. Изменение №4 ТКП 45-2.04-43-2006 Строительная теплотехника.